
袋鼠数学(Math Kangaroo)是一个已经有40年历史的国际数学奥林匹克竞赛。这是由澳大利亚数学家Peter O' Halloran在1980年发起的,目前已经成为了全球最受欢迎的数学竞赛之一,每年有超过600万青少年参赛。
袋鼠数学强调有趣生动、接近生活,从而激发学生的学习兴趣和自信。而年龄跨度比“大联盟”更大,涵盖了小学和中学的全部12个年级。每两个年级考同一套题,共分为6个年级组。
01、参赛时间
“袋鼠数学思维挑战赛”每年举办一次,通常于每年3-4月举行。 为应对新冠疫情,“袋鼠数学思维挑战”赛从2020年起开始举行在线比赛,从指定的星期四开始持续数日或数周,以容纳更多参加考试的学生。奖项评定将分等级和年级单独评奖。
02、比赛特点
比赛由六个级别,从1年级到12年级,由选择题组成。对接受国内教育的孩子们来说,比赛难度并不是很大,除了基本的计算能力外,它们还要求有发散性思维、创造力和想象力、逻辑思维以及其他解决问题的方法,所以对于数学感兴趣的同学,或是对数学有天赋的孩子,非常鼓励去尝试;由于疫情,目前比赛可以选择线上考试。
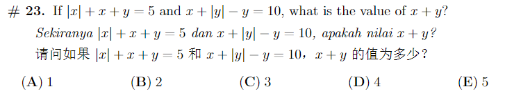
真题展示
袋鼠数学竞赛可以使用中英双语,但是根据我们对真题的研究以及很多学生反馈,考试时很多题目中的中文翻译并不准确,会对学生的审题造成很大误解,因此建议学生备考时尽量看英文原题练习。
Classover的袋鼠数学课程使用全英语的数学教材与授课方式,让学生从源头上理解题目意思,不会产生由误解、歧义引起的丢分情况,更加高效的提升数学水平。
下图是一个level3的考试真题,Level 3的一道5分题,Level 3主要面向5-6年级的考生, 感受一下袋鼠数学的难度。

Level 6(11-12年级)的一道5分题

03、难度说明
该赛事从小学至高中分为7个难度等级
Level 0:学龄前儿童(提供自动读题功能,确保小选子都能听懂题目)
Level 1:小学1至2年级(提供自动读题功能,确保小选手都能听懂题目)
Level 2:小学3至4年级
Level 3:小学5至6年级
Level 4:中学7至8 年级(初一、初二年级)
Level 5:中学9至10年级(初三、高一年级)
Level 6:中学11 至12年级(高二、高三年级)
04、得奖条件
满分- Math Kangaroo成就奖获奖条件
排名前3%- 超级金奖 Top Gold
排名前10%- 金奖 Gold Award
排名前25%- 银奖 Silver Award
排名前35%- 铜奖 Bronze Award
各赛区除全国奖项之外前20%- 数学技能奖 Proficiency Award获奖条件
袋鼠数学竞赛在全球的参与度是非常高的,每年有超过600万人次参加,难度也比较低,在中国赛区的获奖率高达 55%。
05、袋鼠数学




