为什么要考AMC8数学竞赛?对孩子难道真得有用吗?问到这个问题,相信家长朋友们都赞不绝口:AMC8含金量高啊!是通往国际数学殿堂的一把“金钥匙”!是申请上海三公、爬藤升学的“利器”啊!
那我们几个大的方面来全面了解一下,它的含金量究竟有多大?
体制内升学
随着国家对小初阶段奥数赛事的明令禁止,近几年在国内取缔“黑竞赛”的浪潮下,各种杯杯碗碗也相继被禁。然而取而代之的是AMC8、袋鼠数学竞赛、澳洲AMC等国际赛事。
这些赛事在国内如雨后春笋般发展壮大起来。2023年,中国学生参赛人数更是达到了74388人,已经接近当年奥数“四大杯赛”的规模,成为学生课外数学能力的有力补充,AMC奖项的认可度也获得了国内教育界的认可。
比如上海三公学校被录取的牛娃简历中,几乎入手一份AMC8的奖项,在其他一线城市比如杭州,青岛,南京,苏州等主流城市的好初中,自主招生的考题基本上和AMC8的考试知识点重合。
学生简历

甚至AMC8数学竞赛被上海市教委列为竞赛加分项,在AMC8中取得奖项名次,对于小升初申请体制内高中有辅助作用。
上海官方

据了解,很多上岸三公的学生从三、四年级就开始准备AMC8和小托福了。因为小学阶段最重要,最能体现学生学习能力的就是数学和英语,而国际竞赛难度偏高,综合能力要求也很高,对于上海三公学校这种优中选优的学校,其含金量和认可度不言而喻。
申请国际学校的加分项
除了上海的“三公学校”,许多国际学校也将AMC8竞赛作为申请加分的项目。
对于国际学校来说,英语能力十分重要,因为入学后很多课程是全英授课,如果英文能力跟不上,也会影响其他学科的学习。
AMC8是中英文试卷,虽然有中文翻译,但大多是直译,许多文字陷阱,很容易翻译不清,所以优秀的AMC8竞赛成绩,不仅可以反映出孩子优秀的数学能力,也可以展示孩子的英文水平。
许多国际学校,例如包玉刚,平和等国际学校也有对AMC8明确的成绩要求。
申请世界名校加分项
AMC数学竞赛是申请名校的必备敲门砖,无论是美本藤校还是英国G5,AMC可以说是一项不可或缺的背景提升学术项目。
比如MIT、斯坦福、卡内基梅隆等世界名校都明确标注了AMC成绩一栏,虽然大多数AMC10/12,但AMC8是AMC10/12的基础,有了这次竞赛经验,日后的国际数学竞赛一定游刃有余。
官方界面

竞赛履历方

因此,如果孩子想走国际教育路线,AMC8作为初阶数学竞赛,是个很好的练手机会。参加AMC8数学竞赛可以对后续参加AMC10/12等更高级别的数学竞赛,起到积累竞赛经验、打好基础的作用。
对于国际学校学生来说,AMC也是在校内学习之外,最需要搞定的一项基础性竞赛,国内很多国际高中以及公立国际部每年都会有大量的学生参加到AMC竞赛并获奖。
官方资讯



AMC8课程推荐
根据计划备考AMC8数学竞赛的学生群体不同基础水平,机构将AMC8数学竞赛课程分为3个阶段:基础知识巩固、重点难点强化、考前点评冲刺,根据学生的基础,选择对应阶段的班型。
AMC8课程-基础知识学习阶段
✅时长:50小时
✅课程:AMC8 Preparation
✅内容:各个章节基础知识点梳理
AMC8课程-知识强化阶段
✅时长:30小时
✅课程:AMC8数学竞赛进阶教材
✅内容:专题分类讲解(代数/几何/数论/概率/排列组合)
AMC8课程-考前冲刺阶段
✅时长:30小时
✅课程:AMC8数学竞赛中难题冲刺
✅内容:考点查漏补缺,真题模考点评,考场技巧点拨;针对以往考试的重难点进行专项训练,训练答题速度和方法,锻炼熟练度,提前适应考试节奏
班型选择
4-8人小班,1v1课程
上课语言
中英文双语/全英文
适合学生
线上线下同步,全国各地均可上课
AMC8对数学思维的提升
除了升学优势,AMC8数学竞赛本身是一项严谨、具有权威性的国际赛事,由美国数学协会MAA主办的美国国家级数学竞赛(AMC由内布拉斯加大学数学系教授带领专家学者成立的委员会全权负责,成员皆来自全美一流学府,如麻省理工学院MIT、哈佛大学Harvard、普林斯顿大学Princeton等。)
AMC试题由简至难,兼具灵活性,注重基础知识的应用和问题的实际性,看重孩子们的数学思维逻辑和解题思路,对于开阔学生的数学思维,提升数学能力也非常有帮助。
AMC8知识点

AMC8试题知识点覆盖面很广,考察内容包含了小学数学知识和部分初中的数学内容。
可以看出AMC8与孩子校内数学知识重合度也比较高,所以,参加AMC8也能极大促进孩子校内知识的学习,激发孩子的数学潜能。
AMC8历年真题资料+解析

AMC8电子教材








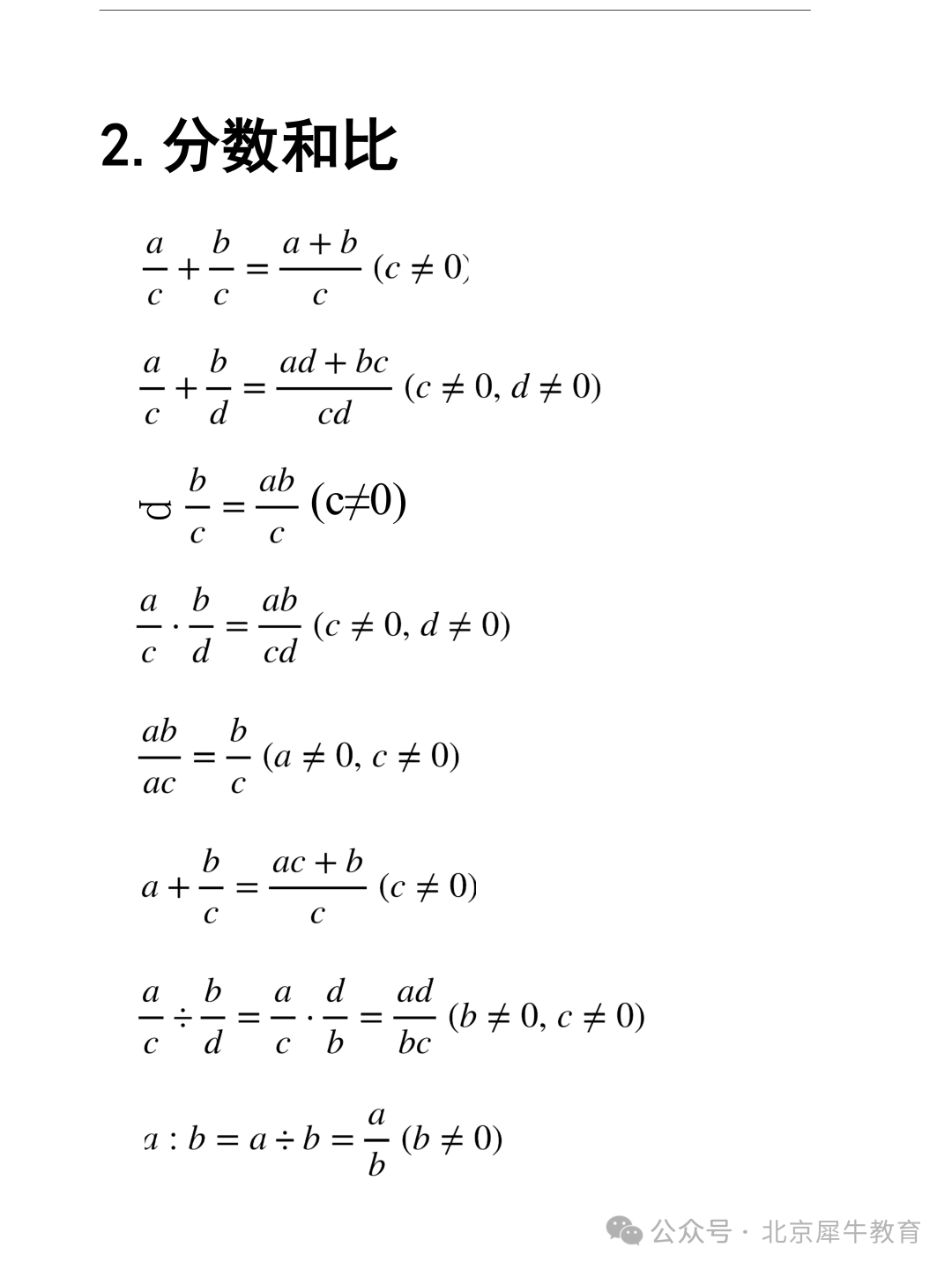
AMC8必备公式








AMC8考察孩子哪方面的能力
AMC8的学习共分为5个板块,补数学其实就是在补5个板块。
初读
读完确定知识点并小声重复一遍题目在问啥?同时圈中体内所有的关键词、数字等,以防犯审题不清导致的读错题,这样的低级错误。包括阿拉伯数字和汉字数字这些数大概率都能用上,特点注意。
回忆
思考这些知识点的基本类型、基本方法、基本公式,如果发现没有这个知识储备,那就暂且停止刷题吧!所谓基础不牢,地动山摇。基础刷下去只能打击自信心,适得其反。夯实基础,加强基本功复习才是关键。
翻译
通过第1点圈出来的关键数字找关系,例如:倍数关系还是和差关系。可适当借力使用“武器”:线段图、公式、字母表示数等,清晰翻译条件。
推理
借助已知条件,找已知条件中可以推出的未知条件。问自己:我还缺啥?如何求出所缺?化繁为简。
对于高难度题而言,条件隐藏越深,越考察思维深度。
还需要从问题入手,寻找缺少的条件,反复从已知条件和新条件里寻找自己所需的关键信息。(日常备考中,很多同学找不到就放弃屡屡皆是,所以难题永远么有突破。所以一定要明白:勤能补拙)
检查
除了计算外,还要检查单位是否统一,查最后结果是否有问题,查是否所有数字条件都用过。读题和动脑结合,边读边想。基本到这里绝大多数AMC8竞赛题都可以解决了。
其实相对于小学奥数,AMC8考察广而不深,更适合不同基础的学生参加;国际竞赛成为新选择,学生可以通过AMC竞赛证明自己的数学能力;AMC8可以说是低领竞赛高含金量的天花板,小升初/国际学校认可。
其次相比奥数,AMC8题目设置比较灵活,是以启发学生思维为目的,不同于小学奥数题的偏怪难。AMC8注重培养学生的数学思维,题目难度由简到难阶梯式递增,即使是普娃经过系统学习也可以取得好成绩。
免费报考指南课程/定制考试计划/留学教材/核心内部资料 一键领取


